Station Post Insulators
Overview

Insulators are essential to the safe and stable distribution of electricity generated at power plants. The station post (SP) insulators found in power handling equipment at power plants and substations support electric cables and other equipment, isolating them from the ground.
SP insulators support each piece of equipment; several can be connected to form an insulator column.
Features
NGK has been supplying station post insulators with various mechanical rating in accordance with IEC standard or ANSI standard and so on.
In addition to products for HVAC, NGK can supply HVDC post insulators with appropriate shed design for HVDC.
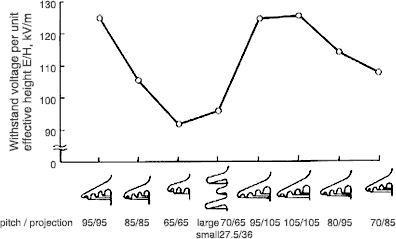
Shed design
Contamination performance of station insulators is influenced by the kind and degree of contamination.
It is also largely influenced by the shed shape, especially for the application of DC systems.
Based upon accumulated laboratory test data and field experiences regarding efficiency of leakage distance of various shed shapes for AC & DC systems, NGK has established the following standard shed shapes.





(This shed shape is used mainly for DC use)

Applications


Test & Standard
NGK station post insulators can meet the requirements and tests specified in the following standards.
IEC Standards and Technical Report
| 60060-1 | High-voltage test techniques Part1: General definitions and test requirements |
|---|---|
| 60168 | Test on indoor and outdoor post insulators of ceramic material or glass for systems with normal voltages greater than 1000V |
| 60273 | Characteristics of indoor and outdoor post insulators for systems with normal voltages greater than 1000V |
| 60437 | Radio interference test on high-voltage insulators |
| 60507 | Artificial pollution tests on high-voltage insulators to be used on AC systems |
| 60815 | Guide for the selection of insulators in respect of polluted conditions |
| 61245 | Artificial pollution tests on high-voltage insulators to be used on D.C. systems |
ANSI Standard
| C29.1 | Electrical Power Insulators - Test methods |
|---|---|
| C29.9 | Wet-Process Porcelain insulators - Apparatus, Post-type |
Featured Products
Inquiry about Insulators and power equipment
Please apply with the contact form and give us your comments or questions.

