Hollow Insulators
Overview

Insulators are essential to the safe and stable distribution of electricity generated at power plants. Found in power handling equipment at power plants and substations, hollow insulators support electric wires and carry electricity safely to the equipment.
Hollow insulators are components of the bushings that ensure safe handling of electricity by transformers and circuit breakers. They are also used in instrument transformers, which measure voltage and current.
Features

NGK has been supplying various kind of hollow insulators for apparatus, such as Power Transformer, Gas Circuit Breaker, Current & Voltage Transformer and so on, up to 1000kV. These insulators are designed in accordance with customer's requirement.
NGK has developed a shed profile having longer leakage distance to improve contamination in the 1980s and has established an ultralarge 12-meter hollow insulator that will be used in 1000kV power transmission systems.
- Various hollow insulators can be produced, for applications ranging from small solid bushings to bushings supporting transmission at the one million volt scale.
- The inorganic bonding used in large hollow insulators ensures remarkable long-term reliability.
- Products with rain sheds are available to prevent reduced withstand voltage during heavy rain.
Shed design
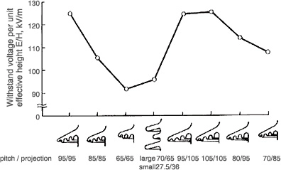
Contamination performance of station insulators is influenced by the kind and degree of contamination.
It is also largely influenced by the shed shape, especially for the application of DC systems.
Based upon accumulated laboratory test data and field experiences regarding efficiency of leakage distance of various shed shapes for AC & DC systems, NGK has established the following standard shed shapes.





(This shed shape is used mainly for DC use)

Applications


Test & Standard
NGK hollow insulators for apparatus can meet the requirements and tests specified in the following standards.
IEC Standards and Technical Report
| 60060-1 | High-voltage test techniques Part1: General definitions and test requirements |
|---|---|
| 60233 | Tests on hollow insulators for use in electrical equipment |
| 60437 | Radio interference test on high-voltage insulators |
| 60507 | Artificial pollution tests on high-voltage insulators to be used on AC systems |
| 60815 | Guide for the selection of insulators in respect of polluted conditions |
| 61245 | Artificial pollution tests on high-voltage insulators to be used on D.C. systems |
| 62155 | Hollow pressurized and unpressurized ceramic and glass insulators for use in electrical equipment with rated voltages greater than 1000V |
Featured Products
Inquiry about Insulators and power equipment
Please apply with the contact form and give us your comments or questions.
